Graphics
Linear Algebra
向量绝对值
- ||v|| = √(x^2+y^2+…)
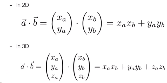
Dot Product 点积、内积 P·Q
几何定义:

代数定义:

主要用于
计算向量夹角余弦值
计算a向量在b向量上的投影: a的单位向量乘以b向量长度再乘以两向量夹角余弦

sqrt(dot(a,a)) = length(a)
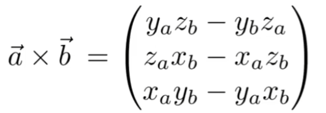
Cross Product 外积 P x Q
||PxQ|| = ||P|| ||Q|| sinα
代数定义:

主要用于
- 判断左右,右手螺旋定则,a x b,z为正则在a左侧,反之则右侧,0两个向量平行
- 判断点是否包含于图形

AB x AP, BC x BP, CA x CP, 若z值同向则包含ABC包含P
Orthonormal bases 正交,内积为0则为正交向量
Coordinate frames
ShaderToy
1 | // 平滑过渡 |